Упр.309 ГДЗ Дорофеев Суворова 7 класс (Алгебра)
Решение #1

Рассмотрим вариант решения задания из учебника Дорофеев, Суворова, Бунимович 10-11 класс, Просвещение:
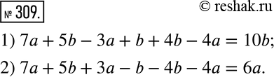
309 Рассуждаем Учащиеся выполняли на доске упражнения на приведение подобных слагаемых и затем стёрли знаки между слагаемыми.
Восстановите запись:
7а 5b За b 4b 4а = 10b;
7а 5b За b 4b 4а = 6а.
*размещая тексты в комментариях ниже, вы автоматически соглашаетесь с пользовательским соглашением