Упр.388 ГДЗ Бунимович Кузнецова 6 класс (Математика)

Решение #1

Изображение 388 Найдите, сколько процентов одна величина составляет от другой (№ 388-390).а) 150 р. от 200 р.;	б) 18 р. от 60 р.;	в) 7,2 т от 20 т;г) 3,6 т от 4 т;д) 20 км...

Рассмотрим вариант решения задания из учебника Бунимович, Кузнецова, Минаева 6 класс, Просвещение:
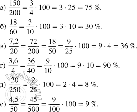
388 Найдите, сколько процентов одна величина составляет от другой (№ 388-390).
а) 150 р. от 200 р.;
б) 18 р. от 60 р.;
в) 7,2 т от 20 т;
г) 3,6 т от 4 т;
д) 20 км от 250 км;
е) 4,5 км от 50 км.
*Цитирирование задания со ссылкой на учебник производится исключительно в учебных целях для лучшего понимания разбора решения задания.
*размещая тексты в комментариях ниже, вы автоматически соглашаетесь с пользовательским соглашением