Упр.418 ГДЗ Бунимович Кузнецова 6 класс (Математика)

Решение #1

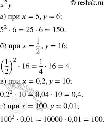
Изображение 418 Найдите значение выражения х2у:а) при х = 5, у = 6;	б) при х = 1/2, у = 16;	в) при х = 0,2, у = 10;г) при х = 100, у =...

Рассмотрим вариант решения задания из учебника Бунимович, Кузнецова, Минаева 6 класс, Просвещение:
418 Найдите значение выражения х2у:
а) при х = 5, у = 6;
б) при х = 1/2, у = 16;
в) при х = 0,2, у = 10;
г) при х = 100, у = 0,01.
*Цитирирование задания со ссылкой на учебник производится исключительно в учебных целях для лучшего понимания разбора решения задания.
*размещая тексты в комментариях ниже, вы автоматически соглашаетесь с пользовательским соглашением