Упр.641 ГДЗ Бунимович Кузнецова 6 класс (Математика)

Решение #1

Изображение 641 Решите уравнение:а) х + 21 = 7;б) 32 + х = -25;в) х + 12,5 = -7,5;г) 15,2 + х = 2,3;д) х - 8,9 = -5;е) 12,5 - х =...

Рассмотрим вариант решения задания из учебника Бунимович, Кузнецова, Минаева 6 класс, Просвещение:
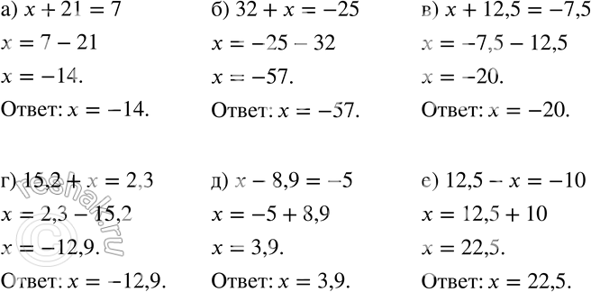
641 Решите уравнение:
а) х + 21 = 7;
б) 32 + х = -25;
в) х + 12,5 = -7,5;
г) 15,2 + х = 2,3;
д) х - 8,9 = -5;
е) 12,5 - х = -10.
*Цитирирование задания со ссылкой на учебник производится исключительно в учебных целях для лучшего понимания разбора решения задания.
*размещая тексты в комментариях ниже, вы автоматически соглашаетесь с пользовательским соглашением