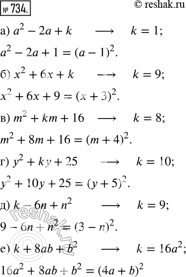
Упр.734 ГДЗ Дорофеев Суворова 7 класс (Алгебра)
Решение #1

Рассмотрим вариант решения задания из учебника Дорофеев, Суворова, Бунимович 10-11 класс, Просвещение:
734 Подберите такое k, чтобы трёхчлен был равен квадрату двучлена:
а) а2 - 2а + k;
б) х2 + 6х + k;
в) m2 + km + 16;
г) у2 + ky + 25;
д) k - 6n + n2;
е) k + 8ab + b2.
*размещая тексты в комментариях ниже, вы автоматически соглашаетесь с пользовательским соглашением