Упр.812 ГДЗ Дорофеев Суворова 7 класс (Алгебра)
Решение #1

Рассмотрим вариант решения задания из учебника Дорофеев, Суворова, Бунимович 10-11 класс, Просвещение:
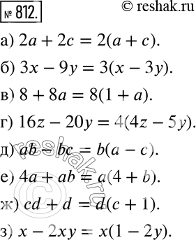
Вынесите общий множитель за скобки (812—813).
812 а) 2a + 2c;
б) 3x - 9y;
в) 8 + 8а;
г) 16z - 20y;
д) ab - bс;
е) 4а + ab,
ж) cd + d;
з) x - 2y.
*размещая тексты в комментариях ниже, вы автоматически соглашаетесь с пользовательским соглашением