Упр.885 ГДЗ Дорофеев Суворова 7 класс (Алгебра)
Решение #1

Рассмотрим вариант решения задания из учебника Дорофеев, Суворова, Бунимович 10-11 класс, Просвещение:
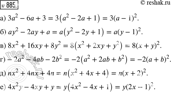
885 а) 3а2 - 6а + 3;
б) ау2 - 2ау + а;
в) 8z2 + 16ху + 8у2;
г) -2а2 - 4ab - 2b2;
д) nх2 + 4nх + 4n;
е) 4х2у - 4ху + у.
*размещая тексты в комментариях ниже, вы автоматически соглашаетесь с пользовательским соглашением