Упр.897 ГДЗ Дорофеев Суворова 7 класс (Алгебра)
Решение #1

Рассмотрим вариант решения задания из учебника Дорофеев, Суворова, Бунимович 10-11 класс, Просвещение:
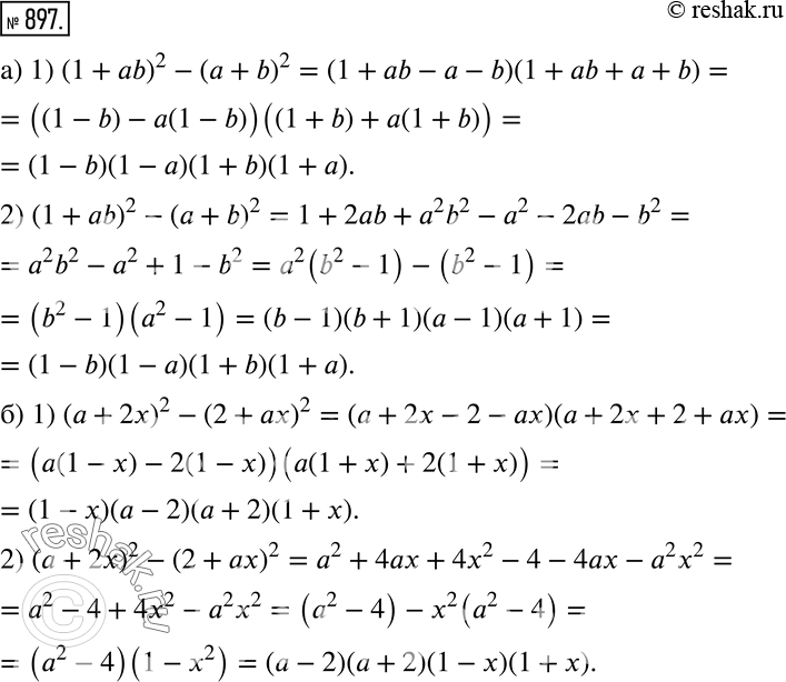
897 Разложите выражение на множители двумя способами:
1) применив формулу разности квадратов;
2) раскрыв скобки и затем применив группировку:
а) (1 + ab)2 - (a + b)2;
б) (а + 2x)2 - (2 + ах)2.
*размещая тексты в комментариях ниже, вы автоматически соглашаетесь с пользовательским соглашением