Упр.592 ГДЗ Макарычев 7 класс (Алгебра)
Решение #1

Рассмотрим вариант решения задания из учебника Макарычев, Миндюк 7 класс, Просвещение:
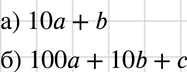
Запишите в виде многочлена число, состоящее из:
а) а десятков и b единиц;
б) а сотен, b десятков и с единиц.
Популярные решебники 7 класс Все решебники
*размещая тексты в комментариях ниже, вы автоматически соглашаетесь с пользовательским соглашением