№995 ГДЗ Атанасян 7-9 класс по геометрии (Геометрия)

Решение #1

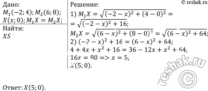
Изображение №995 ГДЗ Атанасян 7-9 класс по геометрии

Рассмотрим вариант решения задания из учебника Атанасян, Бутузов 9 класс, Просвещение:
На оси абсцисс найдите точку, равноудалённую от точек М1 (-2; 4) и М2 (6; 8).
*Цитирирование задания со ссылкой на учебник производится исключительно в учебных целях для лучшего понимания разбора решения задания.
*размещая тексты в комментариях ниже, вы автоматически соглашаетесь с пользовательским соглашением