Упр.381 ГДЗ Алимов 10-11 класс (Алгебра)
Решение #1
Решение #2

Рассмотрим вариант решения задания из учебника Алимов, Колягин, Ткачёва 10 класс, Просвещение:
Решить неравенство (381—383).
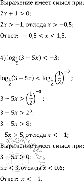
381. 1) log2(x-5) <=2;
2) log3(7-x) > 1;
3) log1/2(2x+1) > -2;
4) log1/2(3-5x) < -3.
*размещая тексты в комментариях ниже, вы автоматически соглашаетесь с пользовательским соглашением