Упр.133 ГДЗ Макарычев Миндюк 9 класс (Алгебра)
Решение #1
Решение #2
Решение #3

Рассмотрим вариант решения задания из учебника Макарычев, Миндюк, Нешков 9 класс, Просвещение:
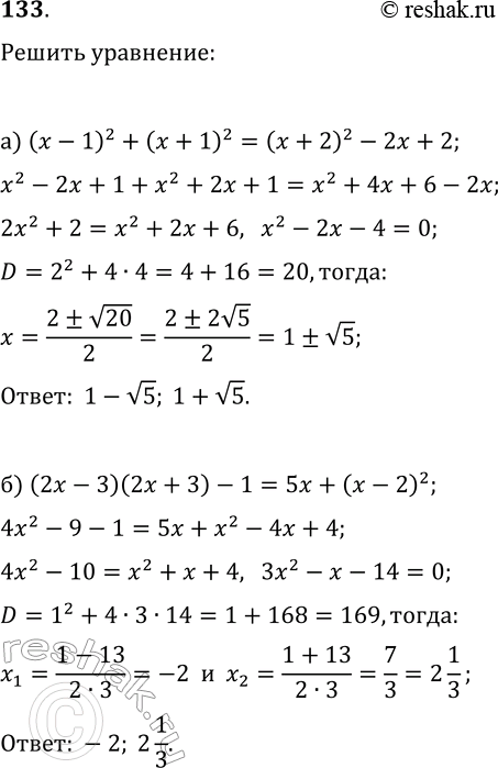
133. Решите уравнение:
а) (х - 1)2 + (х + 1)2= (х + 2)2 - 2х + 2
б) (2х - 3)(2х + 3) - 1 = 5х + (х - 2)2.
*размещая тексты в комментариях ниже, вы автоматически соглашаетесь с пользовательским соглашением