Упр.786 ГДЗ Макарычев Миндюк 9 класс (Алгебра)

Решение #1

Изображение Упр.786 ГДЗ Макарычев Миндюк 9 класс

Решение #2

Изображение Упр.786 ГДЗ Макарычев Миндюк 9 класс
Загрузка...

Рассмотрим вариант решения задания из учебника Макарычев, Миндюк, Нешков 9 класс, Просвещение:
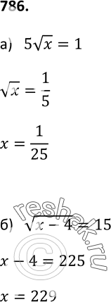
786. Решите уравнение:
а) 5 корень x = 1; б) корень (х - 4) =15.
*Цитирирование задания со ссылкой на учебник производится исключительно в учебных целях для лучшего понимания разбора решения задания.
*размещая тексты в комментариях ниже, вы автоматически соглашаетесь с пользовательским соглашением