Упр.830 ГДЗ Макарычев Миндюк 9 класс (Алгебра)
Решение #1
Решение #2

Рассмотрим вариант решения задания из учебника Макарычев, Миндюк, Нешков 9 класс, Просвещение:
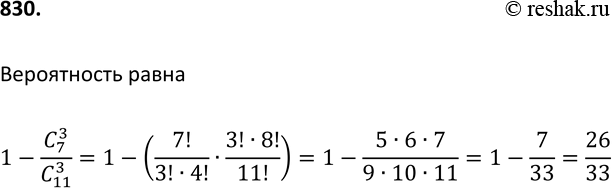
830 В вазе 11 гвоздик, из которых 4 красные. В темноте наугад вынимают 3 гвоздики. Какова вероятность того, что хотя бы одна из них будет красной?
*размещая тексты в комментариях ниже, вы автоматически соглашаетесь с пользовательским соглашением