Упр.329 ГДЗ Макарычев Миндюк 9 класс (Алгебра)
Решение #1
Решение #2

Рассмотрим вариант решения задания из учебника Макарычев, Миндюк, Нешков 9 класс, Просвещение:
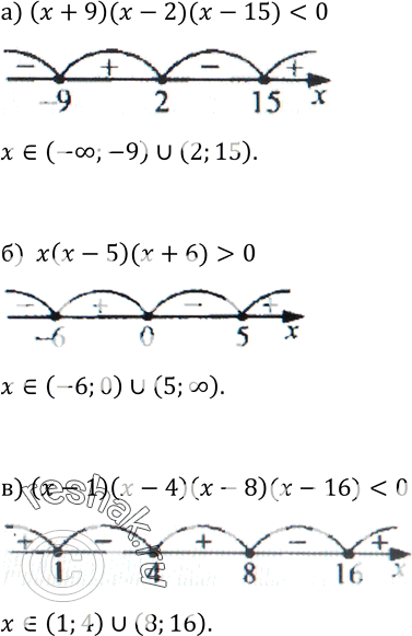
329. Решите неравенство:
а) (х + 9)(x - 2)(х - 15) <0;
б) х(х — 5)(x+ 6) > 0;
в) (х - 1)(х - 4)(x — 8)(x - 16)<0.
*размещая тексты в комментариях ниже, вы автоматически соглашаетесь с пользовательским соглашением