Упр.502 ГДЗ Макарычев Миндюк 9 класс (Алгебра)
Решение #1
Решение #2

Рассмотрим вариант решения задания из учебника Макарычев, Миндюк, Нешков 9 класс, Просвещение:
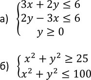
502. Задайте системой неравенств:
а) треугольник, изображённый на рисунке 73,а;
б) кольцо, изображённое на рисунке 73, б.
*размещая тексты в комментариях ниже, вы автоматически соглашаетесь с пользовательским соглашением