Упр.529 ГДЗ Макарычев Миндюк 9 класс (Алгебра)
Решение #1
Решение #2

Рассмотрим вариант решения задания из учебника Макарычев, Миндюк, Нешков 9 класс, Просвещение:
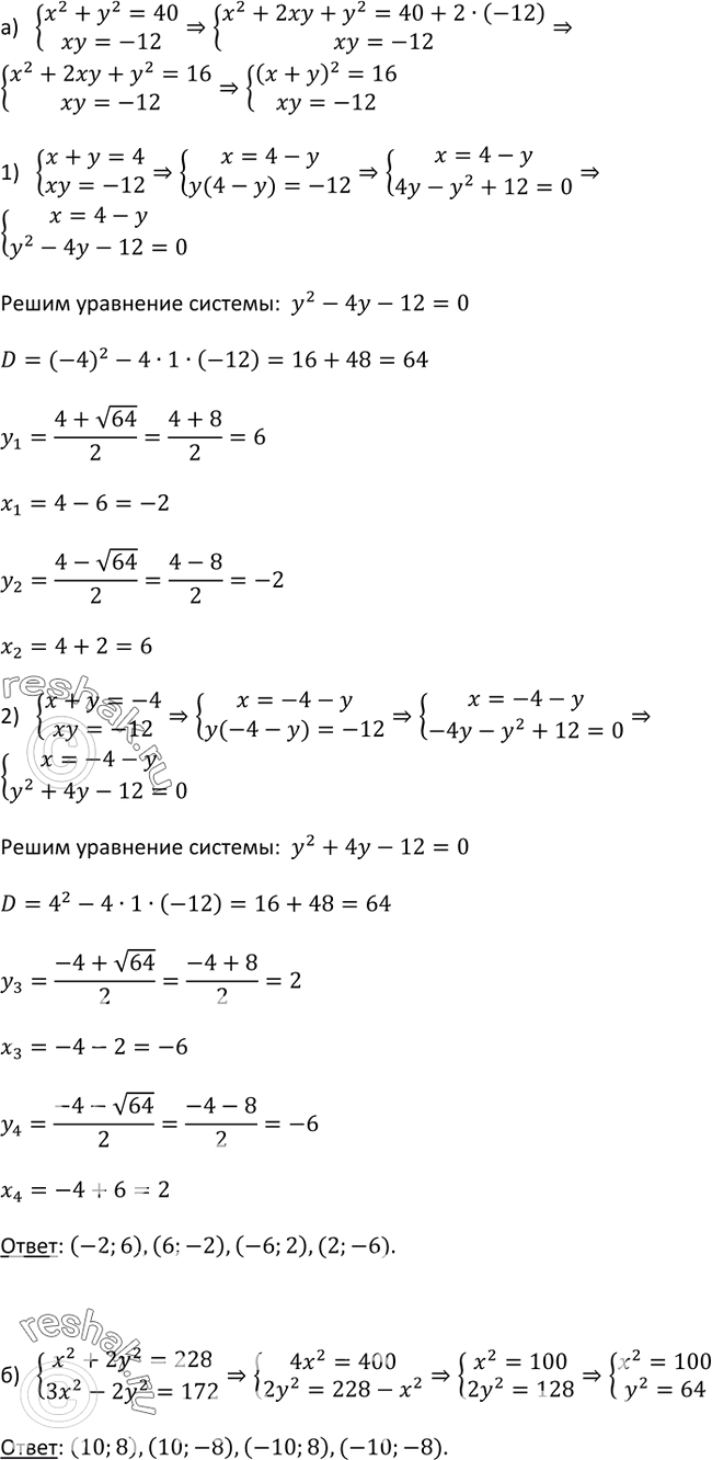
529. Решите систему уравнений:
а) система
x2+y2=40,
xy=-12;
б) система
x2+2y=228,
3x2-2y2=172.
*размещая тексты в комментариях ниже, вы автоматически соглашаетесь с пользовательским соглашением