Упр.981 ГДЗ Макарычев Миндюк 9 класс (Алгебра)
Решение #1
Решение #2

Рассмотрим вариант решения задания из учебника Макарычев, Миндюк, Нешков 9 класс, Просвещение:
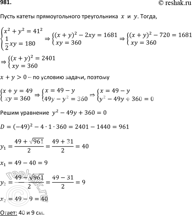
981. Гипотенуза прямоугольного треугольника равна 41 см, а его площадь равна 180 см2. Найдите катеты этого треугольника.
*размещая тексты в комментариях ниже, вы автоматически соглашаетесь с пользовательским соглашением