Упр.985 ГДЗ Макарычев Миндюк 9 класс (Алгебра)

Решение #1

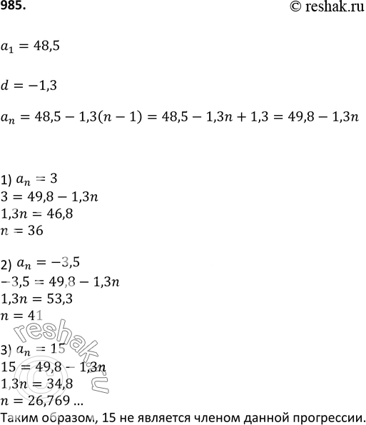
Изображение 985. Найдите номер члена арифметической прогрессии (аn), равного 3, если а1 = 48,5 и d = -1,3. Является ли членом этой прогрессии число -3,5;...

Решение #2

Изображение 985. Найдите номер члена арифметической прогрессии (аn), равного 3, если а1 = 48,5 и d = -1,3. Является ли членом этой прогрессии число -3,5;...
Дополнительное изображение
Загрузка...

Рассмотрим вариант решения задания из учебника Макарычев, Миндюк, Нешков 9 класс, Просвещение:
985. Найдите номер члена арифметической прогрессии (аn), равного 3, если а1 = 48,5 и d = -1,3. Является ли членом этой прогрессии число -3,5; 15?
*Цитирирование задания со ссылкой на учебник производится исключительно в учебных целях для лучшего понимания разбора решения задания.
*размещая тексты в комментариях ниже, вы автоматически соглашаетесь с пользовательским соглашением