Упр.1014 ГДЗ Макарычев Миндюк 9 класс (Алгебра)
Решение #1
Решение #2

Рассмотрим вариант решения задания из учебника Макарычев, Миндюк, Нешков 9 класс, Просвещение:
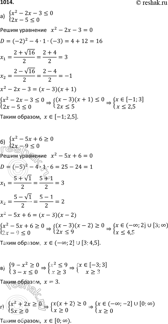
1014. Решите систему неравенств:
а) система
x2-2x-3<=0,
2x-5<=5;
б) система
x2-5x+6>=0,
2x-9<=0;
в) система
9-x2>=0,
3-x<=0;
г) система
x2+2x>=0,
5x>=0.
*размещая тексты в комментариях ниже, вы автоматически соглашаетесь с пользовательским соглашением