Упр.342 ГДЗ Макарычев Миндюк 9 класс (Алгебра)

Решение #1

Изображение 342 Решите уравнение:а) х3 - 4х2 + 3x + 2 = 0; б) х4 + 2x3 - 7х2 - 8х + 12 =...

Решение #2

Изображение 342 Решите уравнение:а) х3 - 4х2 + 3x + 2 = 0; б) х4 + 2x3 - 7х2 - 8х + 12 =...
Дополнительное изображение
Загрузка...

Рассмотрим вариант решения задания из учебника Макарычев, Миндюк, Нешков 9 класс, Просвещение:
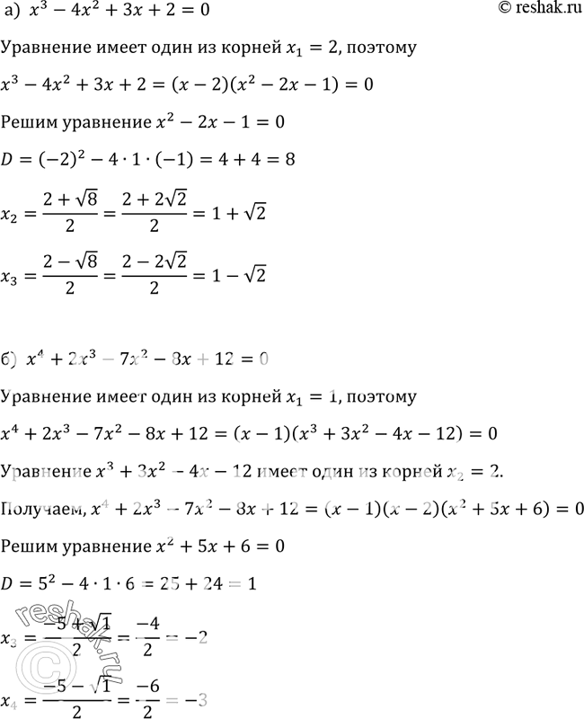
342 Решите уравнение:
а) х3 - 4х2 + 3x + 2 = 0; б) х4 + 2x3 - 7х2 - 8х + 12 = 0.
*Цитирирование задания со ссылкой на учебник производится исключительно в учебных целях для лучшего понимания разбора решения задания.
*размещая тексты в комментариях ниже, вы автоматически соглашаетесь с пользовательским соглашением